近日,我院姜晓博士与合作团队在卫星-地面融合网络安全领域取得重要研究进展,相关成果分别发表于通信领域国际权威期刊《IEEE Transactions on Vehicular Technology》(中科院二区)和《IEEE Transactions on Cognitive Communications and Networking》(中科院一区),为未来天地一体化网络的安全通信提供了理论支撑与系统设计方案。
这两项工作,姜晓博士为第一作者、yl23411集团为第一单位。
研究一:面向实际系统的RSMA混合卫星-地面中继网络安全增强
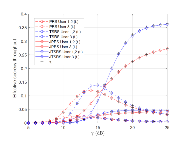
面向卫星物联网与地面网络深度融合的发展趋势,研究团队将RSMA技术与混合卫星-地面中继网络相结合,构建了面向实际非理想条件的安全传输体系。该研究突破了传统安全方案在硬件损伤与信道估计误差并存场景下的性能瓶颈,提出了多级中继协同与智能干扰协同机制,实现了在复杂信道环境下安全性与频谱效率的联合优化。
通过建立非理想条件下的统一性能分析框架,研究团队推导了系统安全容量的闭合表达式,揭示了硬件损伤、信道误差与安全性能之间的内在关联规律。实验结果表明,所提机制在提升安全可靠传输能力方面具有显著优势,为空天地一体化网络中高安全、高可靠通信提供了可工程化的解决方案。


研究二:认知卫星-地面物联网网络中的自适应窃听者对抗策略
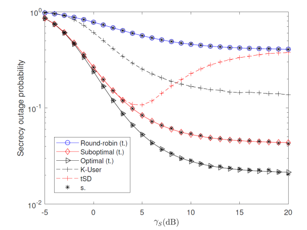
针对认知卫星-地面网络中动态频谱共享环境下的新型安全挑战,研究团队提出了“自适应窃听者”威胁模型,突破了传统被动窃听假设的局限性。基于该模型,团队设计了层次化智能调度体系,实现了在不同信道状态信息下的安全决策。
研究建立了安全性能分析的理论框架,揭示了用户调度与安全容量之间的内在数学关系。通过引入智能决策机制,系统能够根据实时信道状态动态调整传输策略,在保证主用户服务质量的前提下,有效对抗窃听者的模式切换攻击。该研究为开放频谱环境下的智能安全传输提供了理论依据与方法支撑。


该系列研究成果不仅在理论层面深化了对天地一体化网络安全传输机制的理解,更在工程层面提出了可落地实施的技术路径。姜晓博士表示,团队将继续围绕“通信安全”这一主线,探索更高效、更稳健的空天地一体化安全传输机制,为我国空天地海一体化网络建设贡献智慧与力量。
论文信息:
[1] X. Jiang et al., “Physical Layer Security for Practical RSMA-Based Hybrid Satellite-Terrestrial Relay Networks,” IEEE Transactions on Vehicular Technology, doi: 10.1109/TVT. 2025. 3645947.
[2] X. Jiang et al., “Secure Cognitive Satellite-Terrestrial Networks: From Adaptive Eavesdropper Perspective,” IEEE Transactions on Cognitive Communications and Networking, vol. 12, pp. 2989-3004, 2026, doi: 10.1109/TCCN.2025.3631046.
(撰稿、图:永利yl23411集团 姜晓;责任编辑:永利yl23411集团 周佳佳;审核:永利yl23411集团 吕海江)